Cat. No. Name Size Price Add Cart
KI3250Baicalin10 mg$124

Chemical Characteristic

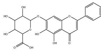
Product NameBaicalin
CAS No.21967-41-9
Molecular Weight 446.36
FormulaC21H18O11
Chemical Name(2S,3S,4S,5R,6S)-6-(5,6-dihydroxy-4-oxo-2-phenylchromen-7-yl)oxy-3,4,5-trihydroxyoxane-2-carboxylic acid
SmilesO1[C@@H]([C@H]([C@@H]([C@H]([C@@H]1Oc1cc2c(c(c1O)O)c(=O)cc(o2)c1ccccc1)O)O)O)C(=O)O
Chemical Structure

Biological activities

Baicalin is one of the main active compounds isolated from the dried root of Scutellaria baicalensis Georgi. Baicalin possesses anti-inflammatory, antioxidant and antitumor properties. Baicalin is widely used as a traditional herbal medicine to treat various infectious and allergic diseases. Baicalin selectively binds to several chemokines, including stromal cell-derived factor 1α, IL-8, macrophage infammatory protein (MIP)-1β, monocyte chemotactic protein (MCP)-2, and lymphotactin. Baicalin also blocks the proliferative effect of platelet-derived growth factor on vascular smooth muscle cells.[1] Baicalin significantly inhibits cell viability in lung cancer cells (A549 and LLC cells) with IC50s of 20.79 and 30.53 µM, respectively, following 72 hours drug exposure. [2] Baicalin effectively decreases the permeability of blood-brain barrier, promotes transcription and expression of TJ proteins (claudin-5 and ZO-1), and reduces the levels of PKC.[3] Baicalin markedly inhibits replication of human immunodeficiency virus type 1 (HIV-1) in a concentration-dependent manner in normal peripheral blood mononuclear cells (PBMC) stimulated with phytohemagglutinin (PHA) in vitro. Baicalin inhibits HIV-1 replication with an IC50 of 0.5 µg/mL.[4] Baicalin (200 mM) inhibits proliferation of SW620 cells and increases activities of caspase-3, -8, and -9 in SW620. [5] In vivo, baicalin suppresses tumor growth and prolongs survival in C57BL/6 mice bearing LLC tumor and nude mice bearing A549 carcinoma without systemic toxicity. [2] In vivo, baicalin (50 mg/kg/day, i.p.) treatment inhibits 55% of tumor growth in xenografted nude mice by 4 weeks.[5]

Protocols

In vitro, baicalin is dissolved in sterile DMSO.[5]

References

[1] Krakauer T, et al. The flavonoid baicalin inhibits superantigen-induced inflammatory cytokines and chemokines. FEBS Lett. 2011, 500 (1-2): 52-55.
[2] Du G, et al. Baicalin suppresses lung carcinoma and lung metastasis by SOD mimic and HIF-1alpha inhibition. Eur J Pharmacol. 2010, 630(1-3): 121-130.
[3] Zhu H, et al. Baicalin reduces the permeability of the blood-brain barrier during hypoxia in vitro by increasing the expression of tight junction proteins in brain microvascular endothelial cells. J Ethnopharmacol. 2012, 141(2): 714-720.
[4] Kitamura K, et al. Baicalin, an inhibitor of HIV-1 production in vitro. Antiviral Res. 1998, 37(2): 131-140.
[5] Chen WC, et al. Baicalin induces apoptosis in SW620 human colorectal carcinoma cells in vitro and suppresses tumor growth in vivo. Molecules. 2012, 17(4): 3844-3857.

Please click here to fill online order form, and we will make sure to supply you product with detail information. This process usually takes between 24 to 48 hours, depending on products stock avaliability. All inquires and subsequent projects are handled in the strictest confidence and will be backed by a confidentiality agreement if required.
KareBayTM provides scientists and clinicians with a wide range of biotechnological products and science lab supplies for chemical research and analyzing life processes. KareBay's extensive capabilities include commercializing reagents and kits, manufacturing biotech products and providing contract research services to organizations worldwide. Our many global labs, offices, and business partners enable KareBay to extend its products and services to its customer base around the world.

Our products are used for research, laboratory and further evaluation purposes. They are not for human use.